1. 다음 설명 중 옳은 것을 고르시오.
a) 금융경제와 화폐경제는 전혀 같은 것이다.
b) 교환경제는 화폐를 매개로 가치의 교환이 이루어지는 경제이다.
c) 금융경제에서는 서로 다른 시점 간에 동일한 금액이 교환된다.
d) 금리는 서로 다른 시점 간의 가치 교환 비율이다.

a) 화폐경제에는 금리의 개념이 없다.
b) 교환경제에 화폐는 아직 존재하지 않는다.
c) 금액 x → 가치의 교환
2. 금리를 연이율 10%로 가정합니다. 오늘 받는 100달러와 가치가 같은 것은?
a) 2년 후 $110
b) 1년 후 $105
c) 2년 후 $120
d) 2년 후 $121

100 x 1.1^1 = 110
100 x 1.1^2 = 121
3. 당신은 항상 연 10%로 운용할 수 있는 투자 기회가 존재합니다.
만약 당신이 2년 후 100달러를 받을 수 있다면, 현재 얼마의 금액을 제공하겠습니까?
a) $95
b) $90
c) $85
d) $80

100 / 1.1^2 = 82.64
4. 금리를 연이율 10%로 가정하고, 1년 후부터 3년 후까지 연 1회씩 총 3회에 걸쳐
1,000달러를 받을 수 있는 금융상품이 있다고 가정하자. 이 금융상품의 현재가치는?
a) $3,000
b) $10,000
c) $2,486.85
d) $3,310

PVA = C x [ { 1 - ( 1 / ( 1 + r )^t ) } / r ]
= 1,000 x [ { 1 - ( 1 / 1.1^3 ) } / 0.1 ]
= 2,486.85
5.NPV와 IRR에 대한 설명으로 옳은 것은 다음 중 어느 것인가?
a) IRR은 그 대상이 되는 현금흐름의 NPV가 0이 되도록 하는 할인율이다.
b) NPV는 초기 투자금액의 미래가치를 합산한 것이다.
c) NPV에 기반한 의사결정에서는 검토 중인 프로젝트의 현금 흐름의 미래가치보다
초기 투자금액이 적으면 투자를 실행한다.
d) IRR에 기반한 의사결정에서는 Hurdle Rate는 일본 국채의 이자율을 사용하는 것이 일반적이다.





6. 채권에 대한 다음 설명 중 옳은 것은 다음 중 어느 것인가?
a) 확정금리증권의 채권가격은 영구채형 현금흐름(Perpetuity)의 공식을 이용하여 구할 수 있다.
b) 수익률이란 채권을 발행할 때 결정되는 이자율을 말한다.
c) 이자율은 중앙은행이 결정하는 정책금리이다.
d) 채권 가격이 하락하면 수익률은 상승한다.

a) 채권가격은 연금형 Cash Flow(Annuity)의 공식을 이용해서 구할 수 없다.
b) 채권을 발행할 때에 결정되는건 이자율이다.
c) 이자율은 변화하지 않는다.

7. 주식 평가와 관련하여 다음 중 옳은 것은 어느 것인가?
a) 주식을 평가할 때 금리 수준을 사용할 필요가 없다.
b) Terminal Value는 최근 배당금과 미래 어느 시점까지의 배당금의 총합이다.
c) 주식가치는 먼 훗날의 배당금을 모두 얻을 수 있다면 평가할 수 있다.
d) 주가는 현재부터 미래까지의 현금 잔고의 현재가치 총합이다.


a) 주식을 평가할 때 금리수준은 필요하다.
b) Terminal Value는 t기에 있어서, t+1기부터 그 이후의 모든 FCF 총체의 평가가치





8. 잉여현금흐름(FCF)이란?
a) 영업현금흐름과 재무현금흐름의 합이다.
b) 투자현금흐름과 재무현금흐름의 합계이다.
c) 경영자가 현재 자유롭게 사용할 수 있는 현금흐름을 말한다.
d) 주주와 채권자에게 분배할 수 있는 현금흐름을 말한다.


9. 가중평균자본비용(WACC)에 대한 설명 중 옳은 것은?
a) WACC는 평균 차입비용이다.
b) WACC를 계산할 때 법인세율을 고려해야 한다.
c) WACC를 계산할 때 소비세율을 고려해야 한다.
d) WACC는 주주가 원하는 기대수익률이다.



10. FCF와 WACC를 사용하여 DCF로 구한 현재가치는?
a) 시가총액
b) Terminal Value
c) 시가총액 - 순부채
d) 순자산액


(6점) Q2.
채권의 가치는 미래 현금흐름의 현재가치로 생각할 수 있다.
금액 100엔짜리 국채가 있다고 가정한다.
또한 이자율은 5%, 만기까지 잔존기간은 3년이라고 가정한다.
현재 국채 3년물의 시장수익률이 10%와 3%인 경우를 생각해 보자.

1) 액면가를 F, 이자율을 c, 잔존기간을 n년, 시장가격을 P, 시장수익률을 r이라고 할 때, P를 c, n, F를 사용하여 표시한다.
P = Fc / (1+r) + Fc / (1+r)^2 + ... + (Fc+F) / (1+r)^n

2) 수익률이 10%인 경우의 채권 가격을 구하시오.
100(0.05) / 1.1 + 100(0.05) / 1.1^2 + 100(0.05) / 1.1^3 + 100 / 1.1^3 = 87.5

3) 수익률이 3%인 경우의 채권 가격을 구하시오.
100(0.05) / 1.03 + 100(0.05) / 1.03^2 + 100(0.05) / 1.03^3 + 100 / 1.03^3 = 105.7

(4 점) Q 3.
전액 대출로 200만 원짜리 자동차를 구입했습니다.
대출은 자동차 구입 다음 달 이후부터 4년간 매월 원금균등분할상환
(원금과 이자의 합계액이 일정하게 되는 상환액)으로 48회 분할상환입니다.
이 대출은 전 기간 금리가 일정하고 월 이자가 0.15%라고 가정하자.
이 대출의 월별 상환액 은 얼마일까요? (소수점은 반올림)
PV = C x [ { 1 - 1 / (1+r)^t } / r ]
2,000,000 = C x [ { 1 - 1 / (1+0.0015)^48 } / 0.0015 ]
2,000,000 x 0.0015 = C x { 1 + 1 / (1+0.0015)^48 }
C = 43,216

(6점) Q4.
수명 2년의 프로젝트에서 지금부터 2년 후까지 다음과 같은 현금 흐름이 나올 것으로 예상됩니다.
이 프로젝트의 IRR(%)을 모두 구하시오. (반올림으로 소수점 첫째 자리까지 구하세요)
・0년 후 -10,000
・1년 후 +24,600
・2년 후 -15,000
-10,000 + 24,600 / (1+r) + (-15,000)/(1+r)^2 = 0
(1+r) = X
15,000 X^2 - 24,600 X + 10,000 = 0
50 X^2 - 123 X + 75 = 0
X = 1.343575... or 1.116422...


(8점) Q5.
현재 당신은 100만원의 저축이 있습니다.
앞으로 3년 동안 매년 연말에 50만 원씩 연말에 50만 원씩,
4년 후부터 5년 동안 연말에 80만 원씩 예치할 예정입니다.
올해 연말에 저축한 돈을 15만 원 인출하여 한국 여행,
3년 후 연말에 120만 원 인출하여 하와이 여행,
8년 후 연말에 180만 원을 인출해 남극 여행을 계획하고 있습니다.
만약 이자율이 연 2%였다면 4년 후와 10년 후의 계좌 잔액은 얼마입니까? (소수점 이하는 반올림).


(6점) Q6.
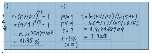
1) 당신은 기업가입니다. 당신에게 관심이 있는 투자자로부터
"내 투자를 5년 안에 4배로 늘려준다면 투자하겠다"는 제안을 받았습니다.
이 투자자의 기대수익률은 몇 %인가요?
400 = 100 (1+r)^5
4 = (1+r)^5
4^(1/5) = 1+rr = 0.31951..r = 31.05%
2) 또 다른 투자자는 "내 투자를 4배로 늘려줄 수 있겠느냐?" 라고 말했습니다.
당신은 연 15%의 수익률을 올릴 수 있는 투자 기회를 가지고 있습니다.
이 투자자를 몇 년 동안 기다리게 할 것인가?
(반올림하여 소수점 둘째 자리까지 구해 주세요.)
400 = 100(1.15)^t
4 = 1.15^t
log(4) = t log(1.15)
t = log(4) / 1og(1.15)
t = 9.9190..
t = 9.92년

AI에게 문제를 풀게 시켰다.
총점 50점 중 학생 평균은 30점...
결과는.. GPT3.5는 11점, Bard는 12점, Bing 정말은 20점...
아직은.. 쉽지 않으나
아마도 몇 달 뒤면 나보다 날 것 같다 ㅠㅠ

'WBS - 2023 Spring > Finance' 카테고리의 다른 글
| (Finance #13-14) 불확실성 (0) | 2023.05.30 |
|---|---|
| (Finance) 도구로서의 Finance 제7장 경영의 자유도의 가치평가 (0) | 2023.05.30 |
| (Finance) 네이피어의 수 (0) | 2023.05.24 |
| (Finance) 도구로서의 파이낸스 제6장 Derivatives의 이론과 실전적 지식 (0) | 2023.05.23 |
| (Finance #9-10) (0) | 2023.05.23 |
| (Finance) 도구로서의 파이낸스 | 제4장 기업의 최적자본구성과 배당·자사주 구입 (0) | 2023.05.16 |
| (Finance) 도구로서의 파이낸스 | 제2장 증권투자에 관한 이론 (0) | 2023.05.09 |
| (Finance #7-8) 가준평균자본 Cost (WACC) 와 정리 (0) | 2023.05.08 |